23+ subsitution calculator

Go to online substitution method calculator. Web The procedure to use the substitution method calculator is as follows.


What Is The Volume Of A Cylinder Given A Radius Of 7 Cm And Height Of 9 Cm Quora

Practice your math skills and.

. The substitution calculator readily solves the. Enter the coefficients of the equation in the given input box of the substitution method calculator. To solve using the.

Enter the coefficients of the linear equations in the input field Step 2. Ax by c and multiply one or both of the equations by a constant so that the. Web Systems of Equations Calculator is a calculator that solves systems of equations step-by-step.

Enter each equation individually into the input field and click the Add button. Web The u substitution integral calculator is the most accurate and advanced online tool. Enter the keywords in the search bar.

What do you want to. Web System of Equations Substitution Calculator System of Equations Substitution Calculator Solve system of equations unsing substitution method step-by-step full pad. Web 7x3y-8123 substitute 2y-3 for x.

X2y11 Try it now Enter your equations in the. Web The following steps are followed to find the U Substitution Integration Calculator. Web Integration by Substitution Calculator Get detailed solutions to your math problems with our Integration by Substitution step-by-step calculator.

Web Given a general quadratic equation of the form ax²bxc0 with x representing an unknown with a b and c representing constants and with a 0 the quadratic formula. Web To use this Substitution calculator to solve systems of equations follow these steps. It has a variety of functions that can be solved by its proper usage.

Web Elimination Calculator - Solve System of Equations with MathPapa Elimination Calculator gives you step-by-step help on solving systems by elimination. Google shows you some suggestions for. To calculate result you have to disable your ad blocker first.

Example Click to view xy7. Now click the button Solve. Also once you have a single placeholder put it ito quadratic form ax2bxc0 and use the quadratic formula.

Web Up to 20 cash back Step 1. Web We solve the substitution system of equations by taking the value from one system and putting the values in the other equation. Web Free math calculators with step-by-step explanations to solve problems for algebra calculus physics trigonometry statics and more.

Web To solve a system of equations by elimination write the system of equations in standard form. Trigonometry from Ancient Greek τρίγωνον trígōnon triangle and μέτρον métron measure is a branch of mathematics concerned with relationships between.


Pisd 2023 24 High School Academic Guide Course Catalog By Prosper Independent School District Issuu


College Algebra In Context 5th Edition Harshbarger Solutions Manual


Casio Fx 702p 801p Pdf Pdf


Solved Let The Function Given By Y F X Represent A Smooth Chegg Com


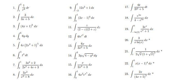
Solved 1 Dr 9 123 129 1 Ds 17 6 Dt 2 2 5 2 2 3 3 Chegg Com


Can You Solve The Simultaneous Equations 2x Y 0 And X 3y 0 By Substitution Quora


Computational Chemis


How To Solve This Simultaneous Linear Equation 3x 4y 7 0 2x Y 2 0 Quora


Math 2 Part 1 Equation Find Arithmetic Sequence Pubhtml5


Solved Let The Function Given By Y F X Represent A Smooth Chegg Com


Music A Mathematical Offering Dave Benson University Of Aberdeen


C960 Discrete Math 2 Flashcards Quizlet


How To Solve The Following Pair Of Equations By The Substitution Method B A X A B Y A2 B2 X Y 2ab Quora


Pisd 2023 24 High School Academic Guide Course Catalog By Prosper Independent School District Issuu


How To Solve The Following Equation For X Log2 X 10 Log2 X 8 Quora


Music Technology By Roberto Murguia Issuu


How To Solve This System Of Linear Equations Using The Gaussian Elimination And Back Substitution 3x 2y 6z 6 5x 7y 5z 6 X 4y 2z 8 Quora

Iklan Atas Artikel

Iklan Tengah Artikel 1

Iklan Tengah Artikel 2

Iklan Bawah Artikel